3.1 Общие сведения о биполярном транзисторе
Основные определения
Биполярным транзистором называется электропреобразовательный полупроводниковый прибор, имеющий в своей структуре два взаимодействующих p-n-перехода и три внешних вывода, и предназначенный, в частности, для усиления электрических сигналов. Термин “биполярный” подчеркивает тот факт, что принцип работы прибора основан на взаимодействии с электрическим полем частиц, имеющих как положительный, так и отрицательный заряд, - дырок и электронов. В дальнейшем для краткости будем его называть просто - транзистором.
 Структура транзистора, изготовленного по диффузионной технологии, приведена на рис . 3.1. Как видно из рисунка, транзистор имеет три области полупроводника, называемые его электродами, причем две крайние области имеют одинаковый тип проводимости, а средняя область - противоположный. Структура транзистора, приведенная на рис. 3.1, называется
n-p-n-структурой. Электроды транзистора имеют внешние выводы, с помощью которых транзистор включается в электрическую схему.
Одна из крайних областей транзистора, имеющая наименьшие размеры, называется 
эмиттером (Э). Она предназначена для создания сильного потока основных носителей заряда (в данном случае электронов), пронизывающего всю структуру прибора (см. рис 3.1). Поэтому эмиттер характеризуется очень высокой степенью легирования 
(NDЭ = 10
19 - 10
20 см
-3 ). Другая крайняя область транзистора, называемая
коллектором (К), предназначена для собирания потока носителей, эмиттируемых эмиттером. Поэтому коллектор имеет наибольшие размеры среди областей транзистора. Легируется коллектор значительно слабее эмиттера (подробнее вопрос о выборе концентрации атомов примеси в коллекторе рассмотрен ниже). Средняя область транзистора называется 
базой (Б). Она предназначена для управления потоком носителей, движущихся из эмиттера в коллектор. Для уменьшения потерь электронов на рекомбинацию с дырками в базе ее ширина 
WБ делается очень маленькой (
WБ<<
Ln), а степень легирования - очень низкой - на 3...4 порядка ниже , чем у эмиттера (N
АБ<<N
DЭ).
Между электродами транзистора образуются p-n-переходы. Переход, разделяющий эмиттер и базу, называется 
эмиттерным переходом (ЭП), а переход, разделяющий базу и коллектор, - 
коллекторным переходом (КП). С учетом резкой асимметрии эмиттерного перехода (N
DЭ >>N
АБ) он характеризуется односторонней инжекцией: поток электронов, инжектируемых из эмиттера в базу, значительно превосходит встречный поток дырок, инжектируемых из базы в эмиттер.
 
Структура транзистора, изготовленного по диффузионной технологии, приведена на рис . 3.1. Как видно из рисунка, транзистор имеет три области полупроводника, называемые его электродами, причем две крайние области имеют одинаковый тип проводимости, а средняя область - противоположный. Структура транзистора, приведенная на рис. 3.1, называется
n-p-n-структурой. Электроды транзистора имеют внешние выводы, с помощью которых транзистор включается в электрическую схему.
Одна из крайних областей транзистора, имеющая наименьшие размеры, называется 
эмиттером (Э). Она предназначена для создания сильного потока основных носителей заряда (в данном случае электронов), пронизывающего всю структуру прибора (см. рис 3.1). Поэтому эмиттер характеризуется очень высокой степенью легирования 
(NDЭ = 10
19 - 10
20 см
-3 ). Другая крайняя область транзистора, называемая
коллектором (К), предназначена для собирания потока носителей, эмиттируемых эмиттером. Поэтому коллектор имеет наибольшие размеры среди областей транзистора. Легируется коллектор значительно слабее эмиттера (подробнее вопрос о выборе концентрации атомов примеси в коллекторе рассмотрен ниже). Средняя область транзистора называется 
базой (Б). Она предназначена для управления потоком носителей, движущихся из эмиттера в коллектор. Для уменьшения потерь электронов на рекомбинацию с дырками в базе ее ширина 
WБ делается очень маленькой (
WБ<<
Ln), а степень легирования - очень низкой - на 3...4 порядка ниже , чем у эмиттера (N
АБ<<N
DЭ).
Между электродами транзистора образуются p-n-переходы. Переход, разделяющий эмиттер и базу, называется 
эмиттерным переходом (ЭП), а переход, разделяющий базу и коллектор, - 
коллекторным переходом (КП). С учетом резкой асимметрии эмиттерного перехода (N
DЭ >>N
АБ) он характеризуется односторонней инжекцией: поток электронов, инжектируемых из эмиттера в базу, значительно превосходит встречный поток дырок, инжектируемых из базы в эмиттер.
Режимы работы транзистора
В зависимости от того, в каких состояниях находятся переходы транзистора, различают режимы его работы. Поскольку в транзисторе имеется два перехода (эмиттерный и коллекторный), и каждый из них может находиться в двух состояниях (открытом и закрытом), различают четыре режима работы транзистора. Основным режимом является активный режим, при котором эмиттерный переход находится в открытом состоянии, а коллекторный - в закрытом. Транзисторы, работающие в активном режиме, используются в усилительных схемах. Помимо активного , выделяют инверсный режим, при котором эмиттерный переход закрыт, а коллекторный - открыт, режим насыщения, при котором оба перехода открыты, и режим отсечки, при котором оба перехода закрыты.
 Наряду с транзисторами n-p-n- структуры, существуют транзисторы с симметричной ей 
p-n-p-структурой, в которых используется поток дырок. Условные обозначения n-p-n- и p-n-p-транзисторов, используемые в электрических схемах, приведены на рис.3.2. Стрелка на выводе эмиттера показывает направление эмиттерного тока в активном режиме. Кружок, обозначающий корпус дискретного транзистора, в изображении бескорпусных транзисторов, входящих в состав интегральных микросхем, не используется. Принцип работы n-p-n- и p-n-p-транзисторов одинаков, а полярности напряжений между их электродами и направления токов в цепях электродов противоположны. В современной электронике наибольшее распространение получили транзисторы n-p-n-структуры, которые, благодаря более высоким значениям подвижности и коэффициента диффузии электронов по сравнению с дырками ( 
m 
n>
m 
p; 
Dn>Dp) , обладают большим усилением и меньшей инерционностью, чем транзисторы p-n-p- структуры. Поэтому ниже рассматриваются именно n-p-n- транзисторы.
Наряду с транзисторами n-p-n- структуры, существуют транзисторы с симметричной ей 
p-n-p-структурой, в которых используется поток дырок. Условные обозначения n-p-n- и p-n-p-транзисторов, используемые в электрических схемах, приведены на рис.3.2. Стрелка на выводе эмиттера показывает направление эмиттерного тока в активном режиме. Кружок, обозначающий корпус дискретного транзистора, в изображении бескорпусных транзисторов, входящих в состав интегральных микросхем, не используется. Принцип работы n-p-n- и p-n-p-транзисторов одинаков, а полярности напряжений между их электродами и направления токов в цепях электродов противоположны. В современной электронике наибольшее распространение получили транзисторы n-p-n-структуры, которые, благодаря более высоким значениям подвижности и коэффициента диффузии электронов по сравнению с дырками ( 
m 
n>
m 
p; 
Dn>Dp) , обладают большим усилением и меньшей инерционностью, чем транзисторы p-n-p- структуры. Поэтому ниже рассматриваются именно n-p-n- транзисторы.
Схемы включения биполярного транзистора
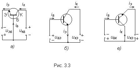
В большинстве электрических схем транзистор используется в качестве четырехполюсника, то есть устройства, имеющего два входных и два выходных вывода. Очевидно, что, поскольку транзистор имеет только три вывода, для его использования в качестве четырехполюсника необходимо один из выводов транзистора сделать общим для входной и выходной цепей. Соответственно различают три схемы включения транзистора: схемы с общей базой (ОБ), общим эмиттером (ОЭ) и общим коллектором(ОК). На рис. 3.3 показаны полярности напряжений между электродами и направления токов, соответствующие активному режиму в указанных схемах включения транзистора. Следует отметить, что токи транзистора обозначаются одним индексом, соответствующим названию электрода, во внешней цепи которого протекает данный ток, а напряжения между электродами обозначаются двумя индексами, причем вторым указывается индекс, соответствующий названию общего электрода (см. рис. 3.3). В схеме с общей базой (см. рис. 3.3,а)

входной цепью является цепь эмиттера, а выходной - цепь коллектора. Схема ОБ наиболее проста для анализа, поскольку в ней каждое из внешних напряжений прикладывается к конкретному переходу: напряжение 
uЭБ прикладывается к эмиттерному переходу, а напряжение 
uКБ - к коллекторному. Следует заметить, что падениями напряжений на областях эмиттера, базы и коллектора можно в первом приближении пренебречь, поскольку сопротивления этих областей значительно меньше сопротивлений переходов. Нетрудно убедиться, что приведенные на рисунке полярности напряжений 
(uЭБ<0; 
uКБ>0) обеспечивают открытое состояние эмиттерного перехода и закрытое состояние коллекторного перехода, что соответствует активному режиму работы транзистора.
В схеме с общим эмиттером (см. рис. 3.3,б) входной цепью является цепь базы, а выходной - цепь коллектора. В схеме ОЭ напряжение 
uБЭ>0 прикладывается непосредственно к эмиттерному переходу и отпирает его. Напряжение 
uКЭ распределяется между обоими переходами:
 
uКЭ = uКБ + uБЭ . Для того, чтобы коллекторный переход был закрыт, необходимо 
uКБ = uКЭ – uБЭ > 0 , что обеспечивается при 
uКЭ > uБЭ > 0.
В схеме с общим коллектором (см. рис.3.3,в) входной цепью является цепь базы, а выходной - цепь эмиттера.
Принцип работы биполярного транзистора
Рассмотрим в первом приближении физические процессы, протекающие в транзисторе в активном режиме, и постараемся оценить, каким образом эти процессы позволяют усиливать электрические сигналы.
 Для простоты анализа будем использовать плоскую одномерную модель транзистора, представленную на рис. 3.4. Эта модель предполагает, что p-n- переходы транзистора являются плоскими, и все физические величины в структуре, в частности, концентрации носителей заряда, зависят только от одной продольной координаты x , что соответствует бесконечным поперечным размерам структуры. С учетом того, что в реальной структуре транзистора (см. рис. 3.1) ширина базы значительно меньше поперечных размеров переходов, плоская одномерная модель достаточно хорошо отражает процессы, протекающие в транзисторе.
Рассмотрим вначале статическую ситуацию, при которой на переходы транзистора от внешних источников питания подаются постоянные напряжения 
uЭБ и 
uКБ - см. рис. 3.4. Заметим, что приведенный на рисунке транзистор включен по схеме с общей базой. Напряжения 
uЭБ <0 и 
uКБ >0 обеспечивают открытое состояние эмиттерного перехода и закрытое состояние коллекторного перехода, что соответствует активному режиму работы транзистора.
Через открытый эмиттерный переход протекают основные носители заряда. Как уже отмечалось в п. 3.1, из-за резкой асимметрии эмиттерного перехода инжекцию через него можно считать односторонней, то есть достаточно рассматривать только поток электронов, инжектируемых из эмиттера в базу - см. рис. 3.4. Этот поток очень сильно зависит от напряжения на эмиттерном переходе 
uЭБ, экспоненциально возрастая с увеличением ч 
uЭБч . Инжектированные в базу электроны оказываются в ней избыточными (неравновесными) неосновными носителями заряда. Вследствие диффузии они движутся через базу к коллекторному переходу, частично рекомбинируя с основными носителями - дырками. Достигнувшие коллекторного перехода электроны экстрагируются полем закрытого коллекторного перехода в коллектор. В связи с тем, что в коллекторном переходе отсутствует потенциальный барьер для электронов, движущихся из базы в коллектор, этот поток в первом приближении не зависит от напряжения на коллекторном переходе 
uКБ.
Таким образом, в активном режиме всю структуру транзистора от эмиттера до коллектора пронизывает сквозной поток электронов, создающий во внешних цепях эмиттера и коллектора токи 
iЭ и 
iК , направленные навстречу движению электронов. Важно подчеркнуть, что этот поток электронов и, соответственно, ток коллектора 
iК, являющийся выходным током транзистора, очень эффективно управляются входным напряжением 
uЭБ и не зависят от выходного напряжения 
uКБ. Эффективное управление выходным током с помощью входного напряжения составляет основу принципа работы биполярного транзистора и позволяет использовать транзистор для усиления электрических сигналов.
Для простоты анализа будем использовать плоскую одномерную модель транзистора, представленную на рис. 3.4. Эта модель предполагает, что p-n- переходы транзистора являются плоскими, и все физические величины в структуре, в частности, концентрации носителей заряда, зависят только от одной продольной координаты x , что соответствует бесконечным поперечным размерам структуры. С учетом того, что в реальной структуре транзистора (см. рис. 3.1) ширина базы значительно меньше поперечных размеров переходов, плоская одномерная модель достаточно хорошо отражает процессы, протекающие в транзисторе.
Рассмотрим вначале статическую ситуацию, при которой на переходы транзистора от внешних источников питания подаются постоянные напряжения 
uЭБ и 
uКБ - см. рис. 3.4. Заметим, что приведенный на рисунке транзистор включен по схеме с общей базой. Напряжения 
uЭБ <0 и 
uКБ >0 обеспечивают открытое состояние эмиттерного перехода и закрытое состояние коллекторного перехода, что соответствует активному режиму работы транзистора.
Через открытый эмиттерный переход протекают основные носители заряда. Как уже отмечалось в п. 3.1, из-за резкой асимметрии эмиттерного перехода инжекцию через него можно считать односторонней, то есть достаточно рассматривать только поток электронов, инжектируемых из эмиттера в базу - см. рис. 3.4. Этот поток очень сильно зависит от напряжения на эмиттерном переходе 
uЭБ, экспоненциально возрастая с увеличением ч 
uЭБч . Инжектированные в базу электроны оказываются в ней избыточными (неравновесными) неосновными носителями заряда. Вследствие диффузии они движутся через базу к коллекторному переходу, частично рекомбинируя с основными носителями - дырками. Достигнувшие коллекторного перехода электроны экстрагируются полем закрытого коллекторного перехода в коллектор. В связи с тем, что в коллекторном переходе отсутствует потенциальный барьер для электронов, движущихся из базы в коллектор, этот поток в первом приближении не зависит от напряжения на коллекторном переходе 
uКБ.
Таким образом, в активном режиме всю структуру транзистора от эмиттера до коллектора пронизывает сквозной поток электронов, создающий во внешних цепях эмиттера и коллектора токи 
iЭ и 
iК , направленные навстречу движению электронов. Важно подчеркнуть, что этот поток электронов и, соответственно, ток коллектора 
iК, являющийся выходным током транзистора, очень эффективно управляются входным напряжением 
uЭБ и не зависят от выходного напряжения 
uКБ. Эффективное управление выходным током с помощью входного напряжения составляет основу принципа работы биполярного транзистора и позволяет использовать транзистор для усиления электрических сигналов.
 Схема простейшего усилительного каскада на транзисторе, включенном по схеме ОБ, приведена на рис. 3.5. По сравнению со схемой, приведенной на рис. 3.4, в эмиттерную цепь введен источник переменного напряжения 
uЭБ- , а в коллекторную цепь включен нагрузочный резистор 
RК. Переменное напряжение 
uЭБ- наряду с напряжением, подаваемым от источника питания, воздействует на сквозной поток электронов, движущихся из эмиттера в коллектор. В результате этого воздействия коллекторный ток приобретает переменную составляющую 
iК– , которая благодаря очень высокой эффективности управления может быть значительной даже при очень маленькой величине 
uЭБ- . При протекании тока коллектора через нагрузочный резистор на нем выделяется напряжение, также имеющее переменную составляющую 
uКБ- = 
iК– RК. Это выходное переменное напряжение при достаточно большом сопротивлении 
RК может значительно превосходить величину входного переменного напряжения 
uЭБ- (uКБ- >>uЭБ- ). Таким образом, транзистор, включенный по схеме ОБ, усиливает электрические сигналы по напряжению. Что касается усиления по току, то рассмотренная схема его не обеспечивает, поскольку входной и выходной токи примерно равны друг другу (
iЭ » iК ).
 
Схема простейшего усилительного каскада на транзисторе, включенном по схеме ОБ, приведена на рис. 3.5. По сравнению со схемой, приведенной на рис. 3.4, в эмиттерную цепь введен источник переменного напряжения 
uЭБ- , а в коллекторную цепь включен нагрузочный резистор 
RК. Переменное напряжение 
uЭБ- наряду с напряжением, подаваемым от источника питания, воздействует на сквозной поток электронов, движущихся из эмиттера в коллектор. В результате этого воздействия коллекторный ток приобретает переменную составляющую 
iК– , которая благодаря очень высокой эффективности управления может быть значительной даже при очень маленькой величине 
uЭБ- . При протекании тока коллектора через нагрузочный резистор на нем выделяется напряжение, также имеющее переменную составляющую 
uКБ- = 
iК– RК. Это выходное переменное напряжение при достаточно большом сопротивлении 
RК может значительно превосходить величину входного переменного напряжения 
uЭБ- (uКБ- >>uЭБ- ). Таким образом, транзистор, включенный по схеме ОБ, усиливает электрические сигналы по напряжению. Что касается усиления по току, то рассмотренная схема его не обеспечивает, поскольку входной и выходной токи примерно равны друг другу (
iЭ » iК ).
3.2. Физические процессы в биполярном транзисторе
Сущность физических процессов, протекающих в транзисторе, таких, как инжекция, экстракция, диффузия, рекомбинация, рассмотрена выше (см. разд. 1 и 2 ). Вместе с тем, в транзисторе проявления этих эффектов имеют определенную специфику, связанную, в первую очередь, с взаимодействием переходов. В этой связи рассмотрим процессы, протекающие в транзисторе применительно к каждому из режимов его работы.

Активному режиму работы транзистора, иногда называемому также нормальным активным режимом, соответствуют открытое состояние эмиттерного перехода и закрытое состояние коллекторного перехода. На рис. 3.6 приведена структура транзистора и показаны потоки носителей заряда в активном режиме. Поскольку основные физические процессы, определяющие протекание в структуре сквозного потока электронов, достаточно подробно описаны в п. 3.1, остановимся лишь на тех моментах, которые были опущены при рассмотрении работы транзистора в первом приближении.
Прежде всего, отметим тот факт, что в активном режиме переходы транзистора имеют различную ширину: запертый коллекторный переход значительно шире открытого эмиттерного перехода.
На рис. 3.6, наряду с показанным на рис. 3.4 сквозным потоком электронов, показаны и другие потоки носителей, протекающие в структуре в активном режиме. В частности, показан встречный поток дырок, инжектируемых из базы в эмиттер. Два направленных навстречу друг другу потока (электронов и дырок) отражают эффект рекомбинации в базе. Электронный поток создается электронами, которые инжектируются из эмиттера, но не доходят до коллекторного перехода (как электроны, создающие сквозной поток), а рекомбинируют с дырками в базе. Дырочный поток создается дырками, поступающими из внешней цепи в базу для восполнения потери дырок из-за их рекомбинации с электронами. Указанные потоки создают во внешних цепях эмиттера и базы дополнительные составляющие токов. На рис. 3.6 также показаны потоки неосновных носителей заряда, создающие собственный тепловой ток обратносмещенного коллекторного перехода (поток электронов, движущихся из базы в коллектор, и поток дырок, движущихся из коллектора в базу).
Каждый из рассмотренных на рис. 3.6 потоков вносит свой вклад в токи, протекающие во внешних цепях эмиттера, коллектора и базы. При этом следует подчеркнуть, что сквозной поток электронов является единственным полезным потоком носителей в транзисторе, поскольку определяет возможность усиления электрических сигналов. Все остальные потоки в усилении сигнала не участвуют, и поэтому являются побочными. Для того, чтобы транзистор имел высокие усилительные свойства, необходимо, чтобы побочные потоки были как можно слабее по сравнению с сильным полезным сквозным потоком.
Завершая рассмотрение активного режима, отметим, что основной вклад в ток базы вносит рекомбинационная составляющая. Равная ей рекомбинационная составляющая тока эмиттера определяет его отличие от тока коллектора, создаваемого практически исключительно сквозным потоком электронов. С учетом того, что база транзистора делается очень узкой и слабо легируется, потери электронов на рекомбинацию в базе очень невелики, и 
iБ<< 
iЭ, а 
iЭ » iК.
Инверсный режим (инверсный активный режим) работы транзистора аналогичен активному режиму с той лишь разницей, что в этом режиме в открытом состоянии находится коллекторный переход, а в закрытом - эмиттерный переход. В связи с тем, что усилительные свойства транзистора в инверсном режиме оказываются значительно хуже, чем в активном режиме, транзистор в инверсном режиме практически не используется.
В режиме насыщения оба перехода транзистора находятся в открытом состоянии. На рис. 3.7 приведена структура транзистора и показаны потоки носителей, протекающие в режиме насыщения. Как видно из рисунка, в этом режиме и эмиттер, и коллектор инжектируют электроны в базу, в результате чего в структуре протекают два встречных сквозных потока электронов (нормальный и инверсный). От соотношения этих потоков зависит направление токов, протекающих в цепях эмиттера и коллектора. Вследствие двойной инжекции база транзистора очень сильно насыщается избыточными электронами, из-за чего усиливается их рекомбинация с дырками, и рекомбинационный ток базы оказывается значительно выше, чем в активном или инверсном режимах.
| 
 | Следует также отметить, что в связи с насыщением базы транзистора и его переходов избыточными носителями заряда, их сопротивления становятся очень маленькими. Поэтому цепи, содержащие транзистор, находящийся в режиме насыщения, можно считать короткозамкнутыми. Учитывая то, что в режиме насыщения напряжение между электродами транзистора составляет всего несколько десятых долей вольта, часто считают, что в этом режиме транзистор представляет собой эквипотенциальную точку. | 
| 
 | В режиме отсечки оба перехода транзистора находятся в закрытом состоянии. Структура транзистора и потоки носителей в режиме отсечки приведены на рис. 3.8. Как видно из рисунка, сквозные потоки электронов в режиме отсечки отсутствуют. Через переходы транзистора протекают потоки неосновных носителей заряда, создающие малые и неуправляемые тепловые токи переходов. База и переходы транзистора в режиме отсечки обеднены подвижными носителями заряда, в результате чего их сопротивления оказываются очень высокими. Поэтому часто считают, что транзистор, работающий в режиме отсечки, представляет собой разрыв цепи. Режимы насыщения и отсечки используются при работе транзисторов в импульсных (ключевых) схемах. | 
3.3 Расчет токов биполярного транзистора
Основные допущения идеализированной теории биполярных транзисторов
Для построения идеализированной модели биполярного транзистора будем считать, что его структура разбивается на области пространственного заряда ( обедненные области эмиттерного и коллекторного переходов) и квазинейтральные области эмиттера, базы и коллектора, в которых выполняется условие D n» D p. Кроме того, примем обычные допущения идеализированной теории n-p-перехода:
Составляющие токов транзистора
 Рассмотрим транзистор, включенный по схеме с ОБ (рис 3.9). Во внешних цепях транзистора будут протекать токи 
iЭ, iК, iБ. За положительные направления токов примем указанные стрелками (они совпадают с физическими направлениями токов в активном режиме). Внешние напряжения 
uЭБ и 
uКБ , как и ранее, будем отсчитывать от общего электрода (в данном случае - базы). Кроме того , введем напряжения на переходах транзистора 
uЭП - на эмиттерном переходе, 
uКП 
- на коллекторном. Эти напряжения будем считать положительными, если они прямые ( “+” приложен к p- области, а “-” к n-области) и отрицательными, если они обратные.
Рассмотрим транзистор, включенный по схеме с ОБ (рис 3.9). Во внешних цепях транзистора будут протекать токи 
iЭ, iК, iБ. За положительные направления токов примем указанные стрелками (они совпадают с физическими направлениями токов в активном режиме). Внешние напряжения 
uЭБ и 
uКБ , как и ранее, будем отсчитывать от общего электрода (в данном случае - базы). Кроме того , введем напряжения на переходах транзистора 
uЭП - на эмиттерном переходе, 
uКП 
- на коллекторном. Эти напряжения будем считать положительными, если они прямые ( “+” приложен к p- области, а “-” к n-области) и отрицательными, если они обратные.
Для рассматриваемого n-p-n-транзистора в схеме с ОБ
uЭП= - uЭБ = uБЭ 
и 
uКП = - uКБ .
Для p-n-p-транзисторов: 
uЭП= uЭБ , 
uКП = uКБ Использование понятий напряжений на переходах позволяет получить одинаковые формулы для n-p-n- и p-n-p-транзисторов.
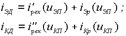
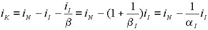
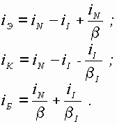
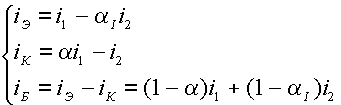
Как было показано в предыдущей главе, каждый ток содержит различные составляющие; для удобства сгруппируем их следующим образом:
Полные токи транзистора могут быть представлены в виде:
 (3.1)
 (3.1)
 
Вредные дополнительные токи переходов мало изменяют токи iЭ и iК ( на 1 - 3 %), однако именно они определяют ток базы.
Перенос электронов из эмиттера в коллектор. Ток связи
Расчет полезной электронной составляющей токов транзистора - тока связи iЭ-К - проведем, пренебрегая малыми дополнительными токами. С физической точки зрения это соответствует отсутствию рекомбинации в базе и переходах транзистора. Электронный поток из эмиттера в коллектор одинаков в любом сечении транзистора, а его величина зависит от процессов в базовой области ( в эмиттере и коллекторе электроны являются основными носителями, их концентрация велика и движение обеспечивается пренебрежимо малыми электрическими полями).
 Перемещение электронов в базовой области (для нее электроны - неосновные носители) происходит путем диффузии за счет разной концентрации на границах базы с эмиттерным и коллекторным переходами, см. рис. 3.10, ( для определенности будем полагать, что на обоих переходах действуют прямые напряжения 
uЭП >uКП >0. Естественно, что дальнейшие рассуждения справедливы при произвольных напряжениях на переходах).
  Перемещение электронов в базовой области (для нее электроны - неосновные носители) происходит путем диффузии за счет разной концентрации на границах базы с эмиттерным и коллекторным переходами, см. рис. 3.10, ( для определенности будем полагать, что на обоих переходах действуют прямые напряжения 
uЭП >uКП >0. Естественно, что дальнейшие рассуждения справедливы при произвольных напряжениях на переходах).
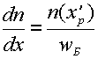
Вычисление тока связи будем проводить в произвольном сечении базы в следующей последовательности:
1. Найдем общее решение уравнения диффузии для электронов в базе.
2. Найдем граничные концентрации 
n(xўp) и 
n(xўўp).
3. Получим распределение 
n(x) концентрации электронов и определим градиент концентрации 
 
Определим величину диффузионного тока в базовой области, равного току связи. В соответствии с граничным уравнением p-n-перехода получим:
 (3.2)
 (3.2)
 
где np- равновесная концентрация электронов в p-базе. Запишем стационарное уравнение диффузии для электронов:
 (3.3)
 (3.3)
 
Если пренебречь рекомбинацией в базе (это эквивалентно условиюLn ® Ґ ), то уравнение (3.3) упрощается и приобретает вид:
 или
 или  (3.4)
 
(3.4)
 
Таким образом, решением уравнения будет прямая линия, проходящая через точки 
n(xў p) и 
n(xpўў ). Распределение электронов в p-базе показано на рис 3.10, из которого с учетом (3.2) следует:
 .
.
Тогда ток связи может быть рассчитан по формуле:
 ,
,
где 
S - площадь переходов транзистора.
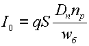
Окончательно:
 (3.5)
(3.5)
 
где  (3.6).
 (3.6).
Ток I0 называется тепловым током транзистора (в зарубежной литературе - током насыщения). Он аналогичен электронной составляющей теплового тока изолированного p-n-перехода.
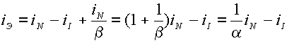
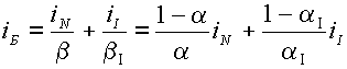
Часто ток связи представляют в виде разности нормальной iN и инверсной iI составляющих.
 , (3.7)
, (3.7)
 где  (3.8);
 (3.8);
 (3.9).
(3.9).
Физически iN - это ток связи при uКП = 0 , а iI - ток связи при uЭП = 0. Таким образом, ток связи имеет две составляющие, каждая из которых зависит от напряжения на одном из переходов.
Дополнительные токи переходов
 
 
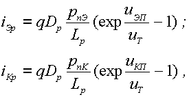
Дополнительные токи переходов складываются из дырочных и рекомбинационных составляющих (см. рис. 3.11). В каждом переходе транзистора, помимо электронных, протекают и дырочные составляющие токов, обусловленные инжекцией дырок - основных носителей заряда в p-базе. Так как концентрация примеси в базе мала NАБ<<NDЭ , эти токи в десятки и более раз меньше электронных. Они могут быть рассчитаны по формулам:
 (3.10)
 (3.10)
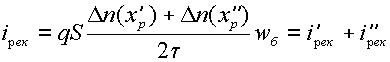
где pnЭ и pnК - равновесные концентрации дырок в эмиттере и коллекторе соответственно. Рекомбинационные токи i' рек и i' ' рек обусловлены частичной рекомбинацией электронов, диффундирующих из эмиттера в коллектор. Скорость рекомбинации в базе (и рекомбинационные токи) пропорциональны избыточному числу неосновных носителей во всей базовой области (площадь под распределением D n(x) на рис. 3.10. D n(x) = n(x)- np ), или
 . (3.11)
 . (3.11) 
Учитывая , что распределение 
D 
n(x) - линейно, по формуле трапеции получим:
 , (3.12)
, (3.12)
где  ; (3.13)
; (3.13)
 . (3.14)
 . (3.14) 
Ток i' рек(uЭП) определяется рекомбинацией электронов, соответствующих нормальной составляющей тока связи iN, а i'' рек(uКП) - инверсной iI. Дополнительные токи каждого перехода складываются из рекомбинационных и дырочных составляющих :
 (3.15)
 (3.15)
и зависят каждый от напряжения на своем переходе.
Влияние обратного напряжения на коллекторном переходе на токи транзистора. Эффект Эрли
 В соответствии с формулами 3.5 ...3.8 ток связи перестает зависеть от обратных напряжений при 
| 
uКП| >> 
uТ = 26 мВ. Однако реально такая зависимость существует, так как при увеличении обратных напряжений ширина n-p- переходов увеличивается, а ширина базы уменьшается.
Зависимость ширины базы от величины обратного напряжения на коллекторе называется эффектом модуляции ширины базы или эффектом Эрли. (Аналогичный эффект в эмиттерном переходе интереса не представляет, так как на эмиттерный переход не подают больших обратных напряжений).
На рис 3.12 показаны два распределения 
n(x) электронов в базе при двух значениях обратного напряжения на коллекторном переходе. Видно, что при 
uКП = 
uКП2 ширина базы уменьшилась на величину 
D 
WБ. При этом увеличился градиент концентрации электронов
В соответствии с формулами 3.5 ...3.8 ток связи перестает зависеть от обратных напряжений при 
| 
uКП| >> 
uТ = 26 мВ. Однако реально такая зависимость существует, так как при увеличении обратных напряжений ширина n-p- переходов увеличивается, а ширина базы уменьшается.
Зависимость ширины базы от величины обратного напряжения на коллекторе называется эффектом модуляции ширины базы или эффектом Эрли. (Аналогичный эффект в эмиттерном переходе интереса не представляет, так как на эмиттерный переход не подают больших обратных напряжений).
На рис 3.12 показаны два распределения 
n(x) электронов в базе при двух значениях обратного напряжения на коллекторном переходе. Видно, что при 
uКП = 
uКП2 ширина базы уменьшилась на величину 
D 
WБ. При этом увеличился градиент концентрации электронов
  и, следовательно, увеличился и ток связи, являющийся диффузионным.
Как следует из рис. 3.12, большему обратному напряжению 
uКП2 соответствует больший ток связи 
iЭ-К а, следовательно, и большие токи 
iЭ и 
iК.
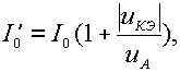
Однако данный эффект в сотни раз слабее, чем влияние прямых напряжений на переходах, и часто не учитывается, или учитывается приближенно. Для учета эффекта Эрли уточняют формулу (3.6) теплового тока транзистора I
0, принимая:
 и, следовательно, увеличился и ток связи, являющийся диффузионным.
Как следует из рис. 3.12, большему обратному напряжению 
uКП2 соответствует больший ток связи 
iЭ-К а, следовательно, и большие токи 
iЭ и 
iК.
Однако данный эффект в сотни раз слабее, чем влияние прямых напряжений на переходах, и часто не учитывается, или учитывается приближенно. Для учета эффекта Эрли уточняют формулу (3.6) теплового тока транзистора I
0, принимая:
 (3.16)
 (3.16)
где I0 - ток, определенный без учета эффекта Эрли по формуле (3.6), uА - напряжение Эрли - параметр транзистора, характеризующий величину эффекта Эрли. Обычно uА составляет десятки вольт и более. Физический смысл напряжения Эрли будет рассмотрен позднее в разделе 3.5.
Коэффициенты передачи токов
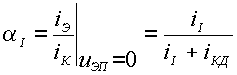
Полезный эффект в транзисторе создается за счет передачи эмиттерного тока из эмиттера в коллектор. Количественно эффективность этого процесса оценивают с помощью статического коэффициента передачи тока эмиттера 
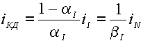
a . Введем:  при 
uКП = 0. Смысл условия 
uКП= 0 заключается в том, что при этом дополнительный ток коллекторного перехода 
iКД = 0, и в коллекторной цепи течет только нормальная составляющая 
iN полезного электронного тока. Тогда:
 при 
uКП = 0. Смысл условия 
uКП= 0 заключается в том, что при этом дополнительный ток коллекторного перехода 
iКД = 0, и в коллекторной цепи течет только нормальная составляющая 
iN полезного электронного тока. Тогда:
 . .
. .
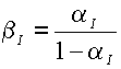
Аналогично можно ввести и инверсный коэффициент передачи тока 
a 
I , или
 .
 .
Отсюда следует:
a iN + a iЭД = iN и 
a 
I iI + a I iКД = iI ,
тогда
 , (3.17)
, (3.17)
 , (3.18)
, (3.18)
где:
  и
 и  - статические коэффициенты передачи тока базы, прямой и инверсный соответственно.
С учетом (3.17) и (3.18) формулы (3.1) удобно представить в виде:
 - статические коэффициенты передачи тока базы, прямой и инверсный соответственно.
С учетом (3.17) и (3.18) формулы (3.1) удобно представить в виде:
 ;
;
 ;
;
 .
.
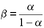
 В рассматриваемой упрощенной теории коэффициенты 
a , 
a 
I ,
b ,
b 
I считаются постоянными, однако опыт показывает, что они изменяются, как при изменении тока связи 
iЭ-К ( на практике рассматривают зависимость от тока эмиттера 
iЭ, отличающегося от тока связи на несколько процентов, но легко измеряемого), так и от обратного напряжения на коллекторном переходе 
uКП. Типичный вид зависимостей для 
b показан на рис.3.13 а,б.
(Коэффициент 
a изменяется аналогично, но его изменениями можно пренебречь, так как 
a 
» 1. Пример: если 
a =0,99, то 
b =
a /(1-
a ) =99 , а при 
a =0,98 
b =49. Таким образом, изменению 
a на 1% соответствует изменение 
b примерно в 2 раза).
В области малых токов эмиттера (рис. 3.13а, участок 1) спад 
b связан с рекомбинацией носителей в самом эмиттерном переходе; в области больших токов (участок 3) уменьшение 
b связано с увеличением концентрации дырок в базе и возрастанием дырочной составляющей тока эмиттерного перехода.
Возрастание 
b с увеличением обратного напряжения на коллекторе вызвано уменьшением ширины базы и рекомбинационных составляющих токов.
 
В рассматриваемой упрощенной теории коэффициенты 
a , 
a 
I ,
b ,
b 
I считаются постоянными, однако опыт показывает, что они изменяются, как при изменении тока связи 
iЭ-К ( на практике рассматривают зависимость от тока эмиттера 
iЭ, отличающегося от тока связи на несколько процентов, но легко измеряемого), так и от обратного напряжения на коллекторном переходе 
uКП. Типичный вид зависимостей для 
b показан на рис.3.13 а,б.
(Коэффициент 
a изменяется аналогично, но его изменениями можно пренебречь, так как 
a 
» 1. Пример: если 
a =0,99, то 
b =
a /(1-
a ) =99 , а при 
a =0,98 
b =49. Таким образом, изменению 
a на 1% соответствует изменение 
b примерно в 2 раза).
В области малых токов эмиттера (рис. 3.13а, участок 1) спад 
b связан с рекомбинацией носителей в самом эмиттерном переходе; в области больших токов (участок 3) уменьшение 
b связано с увеличением концентрации дырок в базе и возрастанием дырочной составляющей тока эмиттерного перехода.
Возрастание 
b с увеличением обратного напряжения на коллекторе вызвано уменьшением ширины базы и рекомбинационных составляющих токов.
3.4. Нелинейные модели биполярного транзистора
Передаточная модель Эберса-Молла
 
 
Модель базируется на эквивалентной схеме, приведенной на рис. 3.14. Расчетные формулы, полученные ранее, (см. 3.8, 3.9, 3.17, 3.18) объединим в систему
:
 
 
 
 (3.19)
 (3.19)
причем uЭП= - uЭБ , uКП = - uКБ.
Токи во внешних цепях транзистора рассчитываются по формулам:
 (3.20)
 (3.20)
В простейшем случае в модели используются три параметра:
Классическая модель Эберса - Молла
 
  
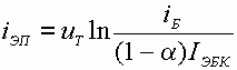
Классическая модель Эберса - Молла базируется на эквивалентной схеме, изображенной на рис. 3.15. От передаточной модели классическая отличается тем, что составляющие токов транзистора сгруппированы иначе.
Переходы транзистора представлены изолированными диодами, токи которых i
1 и i
2 определяются напряжениями u
эп и u
кп соответственно:
  , (3.21)
, (3.21)
где  и
 и  . (3.22)
. (3.22)
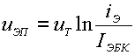
Тепловые токи IЭБК и IКБК имеют следующий смысл:
Соответственно токи в цепях каждого электрода можно рассчитать по формулам:
 . (3.23)
 . (3.23)
Классическая модель менее удобна для расчетов, чем передаточная, но широко используется для объяснения работы транзистора.
Модели для активного режима работы транзистора
Рассмотренные выше нелинейные модели транзистора справедливы для любого режима работы. Однако, для наиболее важного активного режима они могут быть существенно упрощены: Во-первых, можно исключить элементы, описывающие инверсную составляющую тока связи (генератор a I i2). Во-вторых, в качестве одного из аргументов целесообразно рассматривать входной ток транзистора (ток эмиттера в схеме с ОБ и ток базы в схеме ОЭ), так как сопротивление открытого эмиттерного перехода мало, и внешняя цепь по отношению к транзистору в большинстве случаев может рассматриваться как генератор входного тока.
 Рассмотрим транзистор в схеме с ОБ, работающий в активном режиме (рис.3.16).
Если разорвать цепь эмиттера, то под действием обратного напряжения на коллекторе через коллекторный переход из коллектора в базу будет протекать обратный ток 
IКБ0. Его величина приводится в справочных данных транзистора. Подчеркнем, что ток 
IКБ0 следует именно измерять, так как аналитически оценить все составляющие обратного тока невозможно (если использовать формулу, связывающую 
IКБ0 и 
IКБК, получаемую из уравнений Эберса - Молла, то получится очень большая ошибка).
  
Рассмотрим транзистор в схеме с ОБ, работающий в активном режиме (рис.3.16).
Если разорвать цепь эмиттера, то под действием обратного напряжения на коллекторе через коллекторный переход из коллектора в базу будет протекать обратный ток 
IКБ0. Его величина приводится в справочных данных транзистора. Подчеркнем, что ток 
IКБ0 следует именно измерять, так как аналитически оценить все составляющие обратного тока невозможно (если использовать формулу, связывающую 
IКБ0 и 
IКБК, получаемую из уравнений Эберса - Молла, то получится очень большая ошибка).
Таким образом, при iЭ =0 , iК= IКБ0.
Если теперь замкнуть цепь эмиттера, то появится ток iЭ=EЭ/RЭ (задаваемый внешней цепью). Ток эмиттера будет передаваться в коллектор с коэффициентом a .
В результате получим: iК =a iЭ+IКБ0 . (3.24)
Напряжение на эмиттерном переходе можно вычислить с помощью (3.21). Пренебрегая малыми тепловыми токами, получаем:
 . (3.25)
. (3.25)
 Эквивалентная схема транзистора для активного режима приведена на рис. 3.17. В схему добавлено сопротивление тела базы 
r¢ Б. Отметим, что в практических расчетах прямое напряжение 
uЭП часто считают не зависящим от тока эмиттера (при изменении тока эмиттера в 10 раз напряжение на эмиттерном переходе изменяется на 60 мВ) и принимают 
uЭП» U*, где 
U* - пороговое напряжение перехода. Для кремниевых транзисторов 
U*» 0,6-0,8 В. Током 
IКБ0 для кремниевых транзистором пренебрегают.
 Эквивалентная схема транзистора для активного режима приведена на рис. 3.17. В схему добавлено сопротивление тела базы 
r¢ Б. Отметим, что в практических расчетах прямое напряжение 
uЭП часто считают не зависящим от тока эмиттера (при изменении тока эмиттера в 10 раз напряжение на эмиттерном переходе изменяется на 60 мВ) и принимают 
uЭП» U*, где 
U* - пороговое напряжение перехода. Для кремниевых транзисторов 
U*» 0,6-0,8 В. Током 
IКБ0 для кремниевых транзистором пренебрегают.
Для включения с ОЭ (рис.3.18) в качестве входного тока рассматривается ток базы. Учитывая что 
iЭ= iК+iБ, исключим ток 
iЭ из выражения (3.24) 
iК =a ( iК+iБ)+IКБО , тогда
 . (3.26)
 . (3.26)
IКЭ0 » b I КБ0 - называется сквозным тепловым током транзистора. Это ток между эмиттером и коллектором при оборванном выводе базы. Для вычисления напряжения на эмиттерном переходе используем (3.25). Считая, что iБ » (1- a iЭ), получим:
 . (3.27)
 . (3.27)
Эквивалентная схема для включения с ОЭ приведена на рис.3.19.
| 
 | 
 | 
3.5. Статические характеристики биполярного транзистора
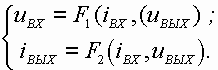
Как уже отмечалось в п. 3.1, транзистор в электрических схемах используется в качестве четырехполюсника, характеризующегося четырьмя величинами: входным и выходным напряжениями и входным и выходным токами ( uВХ, uВЫХ, iВХ, iВЫХ). Функциональные зависимости между этими величинами называются статическими характеристиками транзистора, Чтобы установить функциональные связи между указанными величинами, необходимо две из них взять в качестве независимых переменных, а две оставшиеся выразить в виде функций этих независимых переменных. Как правило, применительно к биполярному транзистору в качестве независимых переменных выбирают входной ток и выходное напряжение. В этом случае входное напряжение и выходной ток выражаются следующим образом:
 
 
На практике удобнее использовать функции одной переменой. Для перехода к таким функциям необходимо вторую переменную, называемую в этом случае параметром характеристики, поддерживать постоянной. В результате получаются четыре типа характеристик транзистора:
 ; (3.31)
 ; (3.31)
 ; (3.32)
 ; (3.32)
 ; (3.33)
 ; (3.33)
 . (3.34)
. (3.34)
Статические характеристики транзистора могут задаваться соответствующими аналитическим выражениями, а могут быть представлены графически. Несколько характеристик одного типа, полученные при различных значениях параметра, образуют семейство характеристик. Семейства входных и выходных характеристик транзистора считаются основными и приводятся в справочниках, с их помощью легко могут быть получены два других семейства характеристик. В различных схемах включения транзистора в качестве входных и выходных токов и напряжений выступают токи, протекающие в цепях различных электродов, и напряжения, приложенные между различными электродами. Поэтому конкретный вид статических характеристик зависит от схемы включения транзистора. Рассмотрим статические характеристики транзистора в наиболее распространенных схемах ОБ и ОЭ.
Статические характеристики в схеме ОБ
В схеме с ОБ (см. рис. 3.3,а) входным током является ток эмиттера iЭ, а выходным - ток коллектора iК, соответственно, входным напряжением является напряжение uЭБ, а выходным - напряжение uКБ.
Входная характеристика в схеме ОБ представляет собой зависимость
 .
.
Однако, реально в справочниках приводится обратная зависимость
  .
.
Семейство входных характеристик кремниевого n-p-n-транзистора приведено на рис. 3.20. Выражение для идеализированной входной характеристики транзистора в активном режиме имеет вид:
 Следует отметить, что в выражении (3.35) отсутствует зависимость тока 
iЭ от напряжения на коллекторном переходе 
uКБ. Реально такая зависимость существует и связана она с эффектом Эрли. Как показано в п. 3.3, при увеличении обратного напряжения 
uКБ. сужается база транзистора , в результате чего несколько увеличивается ток эмиттера 
iЭ. Увеличение тока 
iЭ с ростом 
uКБ. отражается небольшим смещением входной характеристики в сторону меньших напряжений 
| 
uЭБ.
| - см. рис. 3.20.
Режиму отсечки формально соответствует обратное напряжение 
uЭБ.>0 , хотя реально эмиттерный переход остается закрытым (
iЭ 
» 0) и при прямых напряжениях 
| 
uЭБ| меньших порогового напряжения.
Следует отметить, что в выражении (3.35) отсутствует зависимость тока 
iЭ от напряжения на коллекторном переходе 
uКБ. Реально такая зависимость существует и связана она с эффектом Эрли. Как показано в п. 3.3, при увеличении обратного напряжения 
uКБ. сужается база транзистора , в результате чего несколько увеличивается ток эмиттера 
iЭ. Увеличение тока 
iЭ с ростом 
uКБ. отражается небольшим смещением входной характеристики в сторону меньших напряжений 
| 
uЭБ.
| - см. рис. 3.20.
Режиму отсечки формально соответствует обратное напряжение 
uЭБ.>0 , хотя реально эмиттерный переход остается закрытым (
iЭ 
» 0) и при прямых напряжениях 
| 
uЭБ| меньших порогового напряжения.
Выходная характеристика транзистора в схеме ОБ представляет собой зависимость
 .
.
Семейство выходных характеристик n-p-n-транзистора приведена на рис. 3.21. Выражение дляидеализированной выходной характеристики в активном режиме имеет вид: iК =a · iЭ+ IКБ0. (3.36)
 В соответствие с этим выражением ток коллектора определяется только током эмиттера и не зависит от напряжения 
uКЭ. Реально (см. рис. 3.21) имеет место очень небольшой рост 
iК при увеличении обратного напряжения 
uКБ, связанный с эффектом Эрли. В активном режиме характеристики практически эквидистантны (расположены на одинаковом расстоянии друг от друга), лишь при очень больших токах эмиттера из-за уменьшения коэффициента передачи тока эмиттера 
a эта эквидистантность нарушается, и характеристики несколько приближаются друг к другу. При 
iЭ= 0 в цепи коллектора протекает тепловой ток (
iК= IКБ0).
В режиме насыщения на коллекторный переход подается прямое напряжение 
uКБ, большее порогового значения, открывающее коллекторный переход. В структуре транзистора появляется инверсный сквозной поток электронов, движущийся из коллектора в эмиттер навстречу нормальному сквозному потоку, движущемуся из эмиттера в коллектор. Инверсный поток очень резко увеличивается с ростом 
Ѕ 
uКБ.Ѕ , в результате чего коллекторный ток уменьшается и очень быстро спадает до нуля - см. рис. 3.21.
В соответствие с этим выражением ток коллектора определяется только током эмиттера и не зависит от напряжения 
uКЭ. Реально (см. рис. 3.21) имеет место очень небольшой рост 
iК при увеличении обратного напряжения 
uКБ, связанный с эффектом Эрли. В активном режиме характеристики практически эквидистантны (расположены на одинаковом расстоянии друг от друга), лишь при очень больших токах эмиттера из-за уменьшения коэффициента передачи тока эмиттера 
a эта эквидистантность нарушается, и характеристики несколько приближаются друг к другу. При 
iЭ= 0 в цепи коллектора протекает тепловой ток (
iК= IКБ0).
В режиме насыщения на коллекторный переход подается прямое напряжение 
uКБ, большее порогового значения, открывающее коллекторный переход. В структуре транзистора появляется инверсный сквозной поток электронов, движущийся из коллектора в эмиттер навстречу нормальному сквозному потоку, движущемуся из эмиттера в коллектор. Инверсный поток очень резко увеличивается с ростом 
Ѕ 
uКБ.Ѕ , в результате чего коллекторный ток уменьшается и очень быстро спадает до нуля - см. рис. 3.21.
Статические характеристики в схеме ОЭ
В схеме с общим эмиттером (см. рис. 3.3,б) входным током является ток базы iБ, а выходным - ток коллектора iК, соответственно, входным напряжением является напряжение uБЭ, а выходным - напряжение uКЭ.
Входная характеристика в схеме ОЭ представляет собой зависимость
 .
.
Однако, реально в справочниках приводится обратная зависимость
 .
.
Семейство входных характеристик кремниевого n-p-n-транзистора приведено на рис. 3.22. Выражение для идеализированной входной характеристики в активном режиме имеет вид:
 , (3.37)
 , (3.37)
где uБЭ - прямое напряжение на эмиттерном переходе. Так же, как и в схеме ОБ, входная характеристика имеет вид, характерный для прямой ветви ВАХ p-n-перехода (см. рис. 3.22). однако, входной ток iБ здесь в ( b + 1) раз меньше, чем в схеме ОБ. Экспоненциальный рост тока базы при увеличении uБЭ связан с увеличением инжекции электронов в базу и соответствующим усилением их рекомбинации с дырками. В выражении (3.37) отсутствует зависимость тока iБ от напряжения uКЭ. Реально эта зависимость имеет место, она связана с эффектом Эрли. Как показано в гл. 3, с ростом обратного напряжения на коллекторном переходе сужается база транзистора, в результате чего уменьшается рекомбинация носителей в базе и, соответственно, уменьшается ток базы. Снижение тока базы с ростом uКЭ отражается небольшим смещением характеристик в область больших напряжений uБЭ - см. рис. 3.22.При uКЭ< uБЭ открывается коллекторный переход, и транзистор переходит в режим насыщения. В этом режиме вследствие двойной инжекции в базе накапливается очень большой избыточный заряд электронов, их рекомбинация с дырками усиливается, и ток базы резко возрастает - см. рис. 3.22.
| 
 | 
 | 
Выходная характеристика в схеме ОЭ представляет собой зависимость
  .
. 
Семейство выходных характеристик n-p-n-транзистора приведено на рис. 3.23. Выражение для идеализированной выходной характеристики в активном режиме имеет вид:
 . (3.38)
 . (3.38)
Особенностью выходной характеристики транзистора в схеме с общим эмиттером по сравнению с характеристикой в схеме с общей базой, является то, что она целиком лежит в первом квадранте. Это связано с тем, что в схеме ОЭ напряжение uКЭ распределяется между обоими переходами, и при uКЭ< uБЭ напряжение на коллекторном переходе меняет знак и становится прямым, в результате транзистор переходит в режим насыщения при uКЭ >0 (cм. рис. 3.23). В режиме насыщения характеристики сливаются в одну линию, то есть ток коллектора не зависит от тока базы. Так же, как и в схеме ОБ, идеализированная характеристика в активном режиме не зависит от напряжения uКЭ. Реально имеет место заметный рост тока iК с ростом uКЭ (см. рис. 3.23), связанный с эффектом Эрли. Этот рост выражен значительно сильнее, чем в схеме ОБ в связи с более резкой зависимостью от напряжения на коллекторном переходе коэффициента передачи тока базы b по сравнению с коэффицентом передачи тока эмиттера a . Также более резкой зависимостью b от тока эмиттера и, соответственно, от тока базы объясняется практическое отсутствие эквидистантности характеристик. При iБ=0 в цепи коллектора протекает ток iКЭ0= b iБЭ0. Увеличение тока в b раз по сравнению со схемой ОБ объясняется тем, что в схеме ОЭ при iБ=0 и uКЭ >0 эмиттерный переход оказывается несколько приоткрыт напряжением uКЭ, и инжектируемые в базу электроны существенно увеличивают ток коллектора.
3.6. Влияние температуры на работу биполярного транзистора
Влияние температуры на работу биполярного транзистора обусловлено тремя физическими факторами: уменьшением потенциальных барьеров в переходах, увеличением тепловых токов переходов и увеличением коэффициентов передачи токов с ростом температуры.
Уменьшение потенциального барьера 
j 
К с ростом температуры также, как и в изолированном переходе, (см. раздел 2) приводит к усилению инжекции, в результате чего увеличивается входной ток транзистора. На рис. 3.24 приведены входные характеристики транзистора в схеме с общей базой, полученные при различных температурах (заметим, что входные характеристики в схеме ОЭ при различных температурах выглядят аналогично и отличаются лишь масштабом по оси токов так как 
iК >>iБ. Как видно из рисунка 3.24, увеличение входного тока с ростом температуры эквивалентно смещению характеристики в сторону меньших входных напряжений. Это смещение описывается температурным коэффициентом напряжения  , который составляет для кремниевых транзисторов 
e = - 3 мВ/град. В расчетах транзисторных схем часто используют кусочно-линейную аппроксимацию входных характеристик. На рис. 3.24,б приведены идеализированные аппроксимированные характеристики без учета влияния сопротивления тела базы 
rўБ. Как видно из рисунка при 
rўБ =0 характеристики проходят вертикально и напряжение на переходе равно пороговому 
Ѕ - 
uЭБЅ =
U*. Изменение этого напряжения с температурой также описывается коэффициентом 
e .
, который составляет для кремниевых транзисторов 
e = - 3 мВ/град. В расчетах транзисторных схем часто используют кусочно-линейную аппроксимацию входных характеристик. На рис. 3.24,б приведены идеализированные аппроксимированные характеристики без учета влияния сопротивления тела базы 
rўБ. Как видно из рисунка при 
rўБ =0 характеристики проходят вертикально и напряжение на переходе равно пороговому 
Ѕ - 
uЭБЅ =
U*. Изменение этого напряжения с температурой также описывается коэффициентом 
e .
 
 
Увеличение тепловых токов переходов с ростом температуры, подробно рассмотренное в разделе 2, описывается приводимыми в справочниках температурными зависимостями токов IКБ0, IЭБ0. Типовые зависимости токов IКБ0 и IЭБ0 от температуры для кремниевого маломощного транзистора приведены на рис. 3.25.
| 
 | 
 | 
Использование логарифмического масштаба по оси ординат позволило представить экспоненциальную зависимость токов от температуры в линейном виде. Как видно из рисунка, в рабочем интервале температур транзистора (-60 ° ...+ 80 ° C) токи IКБ0 и IЭБ0 могут изменяться на 1...2 порядка. Следует заметить, что отмеченный рост тепловых токов заметно сказывается на выходных характеристиках лишь германиевых транзисторов, что связано с относительно большой величиной самих тепловых токов. В кремниевых транзисторах тепловые токи очень малы, поэтому их изменение с температурой не оказывает заметного влияния на характеристики. Увеличение коэффициента передачи тока эмиттера a и тока базы b с ростом температуры обусловлено ростом времени жизни электронов в базе (см. раздел 1) и соответствующим ослаблением их рекомбинации с дырками. На рис. 3.26 приведены типичные температурные зависимости коэффициентов a и b , нормированных к значениям, полученным при комнатной температуре ( t =20 ° C). Из рисунка видно, что если изменение a с температурой выражено очень слабо (в рабочем интервале температур оно не превышает нескольких процентов), то изменение b может достигать нескольких сотен процентов.
 
 
Сказанное выше иллюстрируют приведенные на рис. 3.27 выходные характеристики транзистора в схемах ОБ и ОЭ, полученные при различных температурах. Как видно из рисунка, увеличение температуры приводит к смещению (дрейфу) характеристик в сторону более высоких токов коллектора. При этом в схеме ОБ при фиксированном токе эмиттера D iК= D a iЭ температурный дрейф характеристик выражен довольно слабо, что объясняется слабой температурной зависимостью коэффициента передачи тока эмиттера a - см. рис 3.26. У характеристик для схемы ОЭ, снимаемых при iБ =const, в связи с сильной температурной зависимостью коэффициента передачи тока базы b температурный дрейф очень велик - изменение тока коллектора D iК= D b iБ может достигать несколько десятков и даже сотен процентов. Температурная нестабильность характеристик транзистора в схеме ОЭ требует специальных мер по стабилизации рабочей точки. На рис. 3.27 приведены три типовые схемы задания режима работы транзистора по постоянному току. В схеме, приведенной на рис 3.27,а внешние элементы задают ток базы
 .
.
Отсюда можно записать выражение для расчета коллекторного тока:
 . (3.39)
 . (3.39)
Оценим изменение тока IК при изменении температуры на 20 ° С. Будем полагать EК=10 В, RБ=100 кОм, b (20 ° С)=100, U*(20 ° С)=0.7В и IКЭ0(20 ° С)=5мкА, откуда IК(20 ° С )=100 · 10/10 5-100 · 0.7/10 5+5 · 10 -6= =9.305 мА. Будем также считать, что изменение b при изменении температуры на 20 ° С составляет 50%, изменение U* определяется коэффициентом e = -2 мВ/град , изменение IКЭ0 определяется температурой его удвоения T* = 5 ° С. Тогда несложно определить значения b , U* и IКЭ0 при t ° =40 ° С: b (40 ° С) =1,5 ·100=150, U*(40 ° С)=0,7-20 ·2 ·10 -3=0,66 В и IКЭ0( 40 ° С)=2 4 ·5 ·10 -6=160 мкА. Тогда ток IК ( 40 ° С)=150·10/10 5-150 ·0,66/10 5+160·10 -6=14,17 мА, то есть ток IК изменился на 52,3 % и основной вклад в это изменение внес коэффициент передачи тока базы b . Расчет показывает, что эта схема обладает низкой температурной стабильностью. В схеме, приведенной на рис. 3.28,б, внешние элементы задают ток эмиттера
 и
 и  .
.
Таким образом, в этой схеме обеспечивается высокая температурная стабильность (как в схеме ОБ), правда достигается она за счет использования дополнительного источника питания. Следует заметить, что указанная схема представляет собой по переменному току - схему ОЭ, а по постоянному току - схему ОБ. Третья схема (см. рис. 3.28,в) занимает промежуточное по термостабильности положение между двумя первыми схемами. В этой схеме фиксируется напряжение uБЭ и при рациональном выборе RБ1,RБ2 и RЭ температурная стабильность всего в 2 - 3 раза хуже, чем во второй схеме.

3.7. Пробой биполярного транзистора
Физические причины, вызывающие пробой переходов транзистора, те же, что и в полупроводниковом диоде (см. раздел 2). В то же время пробой переходов в транзисторах имеет определенную специфику, связанную с взаимодействием переходов и проявляющуюся главным образом в схеме с общим эмиттером, где напряжение uКЭ прикладывается к обоим переходам. В схеме ОБ напряжение лавинного пробоя коллекторного перехода UКБ0 проб близко к напряжению пробоя изолированного перехода. Эмиттерный переход, как правило, работает при прямом смещении и его пробивное напряжение не представляет интереса, однако следует иметь в виду, что из-за сильного легирования эмиттера напряжение пробоя эмиттерного перехода мало - несколько вольт. В схеме ОЭ условия возникновения лавинного пробоя очень сильно зависят от режима базовой цепи. В случае, когда ток базы не ограничен (сопротивление в цепи базы RБ® 0) пробой коллекторного перехода происходит так же, как и в схеме ОБ, и возникает при том же пробивном напряжении на коллекторе UКБ0 проб. При фиксированном токе базы, когда базовая цепь питается от источника тока ( RБ® Ґ ), проявляется механизм положительной обратной связи, снижающей пробивное напряжения. Его суть состоит в том, что образующиеся в переходе в результате ударной ионизации пары носителей заряда разделяются полем перехода: электроны уходят на коллектор, увеличивая его ток, а дырки скапливаются в базе, увеличивая ее потенциал и снижая потенциальный барьер в эмиттерном переходе. В результате увеличивается инжекция электронов из эмиттера в базу и растет коллекторный ток. Соответственно уменьшается пробивное напряжение. Наиболее сильно накопление дырок в базе происходит при отсутствии базового тока ( iБ=0), что соответствует разомкнутой цепи базы ( RБ = Ґ ). В этом режиме пробивное напряжение UКЭ0 проб оказывается в несколько раз ниже, чем в схеме ОБ, и определяется выражением:
UКЭ0 проб = UКБ0 проб  (3.40)
 (3.40)
где b= 2...6 - коэффициент, зависящий от материала, из которого изготовлен транзистор. В связи с сильным уменьшением пробивного напряжения запрещается эксплуатация транзистора с разомкнутой базовой цепью.
 На рис 3.29 приведены выходные характеристики транзистора в режиме пробоя. Помимо рассмотренных выше пробивных напряжений 
UКБ0проб и 
UКЭ0проб на рисунке показано напряжение 
UКЭRпроб, соответствующее некоторому конкретному сопротивлению 
RБ, включенному в цепь базы и определяющему ее ток. Из рисунка видно, что 
UКЭ0 
проб < 
UКЭR 
проб< 
UКБ0 
проб. Для увеличения напряжения пробоя коллекторного перехода степень легирования коллектора стараются выбирать достаточно низкой.
Так же, как и в полупроводниковом диоде, обратимый лавинный пробой (называемый иногда первичным пробоем) при отсутствии ограничения тока может перейти в тепловой пробой (вторичный пробой), характеризующийся уменьшением напряжения 
uКЭ (см. рис. 3.29) и приводящий к выходу транзистора из строя. При этом в транзисторе опасность возникновения теплового пробоя оказывается значительно сильнее, чем в диоде. Это объясняется тем, что за счет инжекции электронов из эмиттера в базу через обратно- смещенный коллекторный переход при больших напряжениях протекает большой обратный ток и, соответственно, велика мощность, рассеиваемая в переходе. Тепловой пробой наступает в том случае, когда рассеиваемая на коллекторе мощность 
PК =uКЭ Ч iК превышает максимально допустимую рассеиваемую мощность 
PК МАКС. Гипербола, соответствующая допустимой мощности, показана пунктиром на рис. 3.29.
Кроме лавинного и теплового пробоя в транзисторах с очень узкой базой возникает специфический для транзисторной структуры вид пробоя, называемый эффектом смыкания. Он связан с эффектом Эрли и заключается в том, что при очень большом обратном напряжении коллекторный переход, расширяясь, заполняет всю базовую область и смыкается с эмиттерным переходом, что эквивалентно их короткому замыканию.
 
На рис 3.29 приведены выходные характеристики транзистора в режиме пробоя. Помимо рассмотренных выше пробивных напряжений 
UКБ0проб и 
UКЭ0проб на рисунке показано напряжение 
UКЭRпроб, соответствующее некоторому конкретному сопротивлению 
RБ, включенному в цепь базы и определяющему ее ток. Из рисунка видно, что 
UКЭ0 
проб < 
UКЭR 
проб< 
UКБ0 
проб. Для увеличения напряжения пробоя коллекторного перехода степень легирования коллектора стараются выбирать достаточно низкой.
Так же, как и в полупроводниковом диоде, обратимый лавинный пробой (называемый иногда первичным пробоем) при отсутствии ограничения тока может перейти в тепловой пробой (вторичный пробой), характеризующийся уменьшением напряжения 
uКЭ (см. рис. 3.29) и приводящий к выходу транзистора из строя. При этом в транзисторе опасность возникновения теплового пробоя оказывается значительно сильнее, чем в диоде. Это объясняется тем, что за счет инжекции электронов из эмиттера в базу через обратно- смещенный коллекторный переход при больших напряжениях протекает большой обратный ток и, соответственно, велика мощность, рассеиваемая в переходе. Тепловой пробой наступает в том случае, когда рассеиваемая на коллекторе мощность 
PК =uКЭ Ч iК превышает максимально допустимую рассеиваемую мощность 
PК МАКС. Гипербола, соответствующая допустимой мощности, показана пунктиром на рис. 3.29.
Кроме лавинного и теплового пробоя в транзисторах с очень узкой базой возникает специфический для транзисторной структуры вид пробоя, называемый эффектом смыкания. Он связан с эффектом Эрли и заключается в том, что при очень большом обратном напряжении коллекторный переход, расширяясь, заполняет всю базовую область и смыкается с эмиттерным переходом, что эквивалентно их короткому замыканию.